浩瀚的宇宙,等待人類運用智慧去征服,她的神祕面紗至今我們仍無法掀開,莎士比亞說:「即使被關在胡桃殼內,我也把自己當作擁有無限空間的君王。」愛因斯坦也曾說:「雖然我們對於宇宙了解甚少,但目前的科學成果卻是人類重要的資產。」這些人都希望我們繼續秉持求真的精神,不懈地進行宇宙的開拓工程,善用目前已知的點點滴滴持續累積,積沙成塔,完成那未完成的夢想。 在這邊我們概分成五個部分來探討相對論基本觀念與時光旅行的可行性:
浩瀚的宇宙,等待人類運用智慧去征服,她的神祕面紗至今我們仍無法掀開,莎士比亞說:「即使被關在胡桃殼內,我也把自己當作擁有無限空間的君王。」愛因斯坦也曾說:「雖然我們對於宇宙了解甚少,但目前的科學成果卻是人類重要的資產。」這些人都希望我們繼續秉持求真的精神,不懈地進行宇宙的開拓工程,善用目前已知的點點滴滴持續累積,積沙成塔,完成那未完成的夢想。
在這邊我們概分成五個部分來探討相對論基本觀念與時光旅行的可行性:
在此以這兩張圖來說明,為何必須以高維的角度看待世界,或是說,以高維度來觀察世界會得到什麼意想不到的結果?! 左邊這張圖的場景發生在「二維度的世界」,裡面居住的人是平面的,用的東西也理所當然是平面的,吃、住都在平面的世界,關犯人的監獄當然也是。這是一座監獄,當一位生存在三維的人,將一位犯人拉起,使之在 Z 軸上行動的時候,其他二維空間中的犯人無不驚恐失色,因為他們夥伴就這樣騰空消失了。納悶...越獄這麼輕鬆?!... 但是在我們長期生活在三維空間中的人,無不習以為常,他只不過在 Z 軸上行動而已,一樣我們再來看右邊這張圖的例子。 右邊這張圖片述說的是類似的故事,場景一樣在「二維度的世界」。一顆具有體積的球體,當然是三維的,可以想像成生活中我們打籃球、桌球的那種球體,在二維即平面上上下來回移動,二維的人看到會有什麼反應呢?!可能是「哇!怎麼這麼神奇,有東西忽大忽小,究竟是什麼?」 這就告訴我們以高一維的角度來看待物理現象,有什麼巨大的差別。 所以試想,當我們為四維的生物所控制,行走在第四個為度「時間軸」上,到了可能十年後、二十年後,而你的親戚朋友可能在這十年、二十年內尋尋覓覓,探討你的下落,時間過了毫無所獲,幾乎已經放棄一絲希望,卻突然和你再度相逢,我們可能吃驚、恐懼,但是若以高一維即以四維的角度看待這個物理現象,是不是問題就豁然冰釋?
在此以這兩張圖來說明,為何必須以高維的角度看待世界,或是說,以高維度來觀察世界會得到什麼意想不到的結果?!
左邊這張圖的場景發生在「二維度的世界」,裡面居住的人是平面的,用的東西也理所當然是平面的,吃、住都在平面的世界,關犯人的監獄當然也是。這是一座監獄,當一位生存在三維的人,將一位犯人拉起,使之在 Z 軸上行動的時候,其他二維空間中的犯人無不驚恐失色,因為他們夥伴就這樣騰空消失了。納悶...越獄這麼輕鬆?!...
但是在我們長期生活在三維空間中的人,無不習以為常,他只不過在 Z 軸上行動而已,一樣我們再來看右邊這張圖的例子。
右邊這張圖片述說的是類似的故事,場景一樣在「二維度的世界」。一顆具有體積的球體,當然是三維的,可以想像成生活中我們打籃球、桌球的那種球體,在二維即平面上上下來回移動,二維的人看到會有什麼反應呢?!可能是「哇!怎麼這麼神奇,有東西忽大忽小,究竟是什麼?」
這就告訴我們以高一維的角度來看待物理現象,有什麼巨大的差別。
所以試想,當我們為四維的生物所控制,行走在第四個為度「時間軸」上,到了可能十年後、二十年後,而你的親戚朋友可能在這十年、二十年內尋尋覓覓,探討你的下落,時間過了毫無所獲,幾乎已經放棄一絲希望,卻突然和你再度相逢,我們可能吃驚、恐懼,但是若以高一維即以四維的角度看待這個物理現象,是不是問題就豁然冰釋?
1905年愛因斯坦提出狹義相對論,這一年被喻為物理學第二個的奇蹟之年,第一個奇蹟之年是1665年牛頓所創立的數學與物理學主導世界長達250年。
關於相對性原理的思想,早在伽利略時代和牛頓時代就有了。主要在描述,在宇宙中沒有一個絕對靜止的點可以用來測量所有的運動,因為任何運動都是相對的,觀察者的位置不同而會得到不同的結果。例如星際間飛行的太空船,它無法以「相對於某個靜止的空間速率多少」這樣的句子來描述;那怎樣才是正確的呢?假設現在在太空中,有兩艘太空船,命名為A和B,A太空船以等速通過B太空船,那麼在兩艘太空船上的太空人僅能說兩者之間相對速率是多少,單從這個觀察,無法察覺出到底誰是靜止、誰在運動,或是兩者都在運動。 舉一個日常生活的例子,乘坐捷運上到站時,若對向來車開始起步運動,我們在車廂內乍看下我們的車子好像在後退,其實我們正處於靜止的捷運車廂,所以僅在車廂內的我們並無法精確描述出,到底是我們在運動還是對向來車在運動,與前面的例子同樣道理。 另外,假如我們在等速運動的飛機或是船上,手上拿一個球並放開手,讓球做自由落體運動,過一段時間後球還是落在我們腳邊;若在擺設一個單擺,其擺動的方式也會和靜止的飛機或船上的情況相同。
關於相對性原理的思想,早在伽利略時代和牛頓時代就有了。主要在描述,在宇宙中沒有一個絕對靜止的點可以用來測量所有的運動,因為任何運動都是相對的,觀察者的位置不同而會得到不同的結果。例如星際間飛行的太空船,它無法以「相對於某個靜止的空間速率多少」這樣的句子來描述;那怎樣才是正確的呢?假設現在在太空中,有兩艘太空船,命名為A和B,A太空船以等速通過B太空船,那麼在兩艘太空船上的太空人僅能說兩者之間相對速率是多少,單從這個觀察,無法察覺出到底誰是靜止、誰在運動,或是兩者都在運動。
舉一個日常生活的例子,乘坐捷運上到站時,若對向來車開始起步運動,我們在車廂內乍看下我們的車子好像在後退,其實我們正處於靜止的捷運車廂,所以僅在車廂內的我們並無法精確描述出,到底是我們在運動還是對向來車在運動,與前面的例子同樣道理。
另外,假如我們在等速運動的飛機或是船上,手上拿一個球並放開手,讓球做自由落體運動,過一段時間後球還是落在我們腳邊;若在擺設一個單擺,其擺動的方式也會和靜止的飛機或船上的情況相同。
在靜止的船上,當一個人拿著球鬆手使球做自由落體運動時,球最終是落在腳旁。
當船做等速度運動往右走的時候,這個拿著球人又再度鬆手,球還是自由落體運動,而球最後還是落在自己腳旁。
這些例子都在在顯示,物理定律在等速運動的包廂與靜止不動的實驗室中是完全相同的。這也是狹義相對論的兩大基石之一,也就是第一假設:在等速運動的座標中,所有的自然定律都是相同的。
右上圖的右邊就是相對論所預測,人以接近光速行進時,看到光仍以光速行進的模式。左邊的圖則為相反的狀況。
假設時鐘的位置就是發光點的位置,我們要讀到時間就得靠光從時鐘上反射到我們眼睛才能得知。現在先看左邊的情況,在靜止的狀態下,光從頂面(時鐘處)發出至底面在反射到頂面(眼睛),時間測得為一秒。現在換到右邊的場景,這是整個物體以高速移動的狀況,光一樣從頂面發出,至底面反射,但是光還不足以往返一次,因為兩邊所走的距離必須相等。從一個靜止觀察者的角度來解釋,右邊運動的物體的光所走的距離必須與左邊靜止的光來回走的距離,兩者必須相等,但是顯然右邊運動中的物體的光要再長一點的距離才足以反射到達頂面,也就是我們的眼睛,所以我們就馬上了解到,在高速運動中的物體,時間變長了,也就是時間膨脹的現象。 我們現在以動畫的模式來介紹這個概念,請按圖片動畫就會開始:
假設時鐘的位置就是發光點的位置,我們要讀到時間就得靠光從時鐘上反射到我們眼睛才能得知。現在先看左邊的情況,在靜止的狀態下,光從頂面(時鐘處)發出至底面在反射到頂面(眼睛),時間測得為一秒。現在換到右邊的場景,這是整個物體以高速移動的狀況,光一樣從頂面發出,至底面反射,但是光還不足以往返一次,因為兩邊所走的距離必須相等。從一個靜止觀察者的角度來解釋,右邊運動的物體的光所走的距離必須與左邊靜止的光來回走的距離,兩者必須相等,但是顯然右邊運動中的物體的光要再長一點的距離才足以反射到達頂面,也就是我們的眼睛,所以我們就馬上了解到,在高速運動中的物體,時間變長了,也就是時間膨脹的現象。
我們現在以動畫的模式來介紹這個概念,請按圖片動畫就會開始:
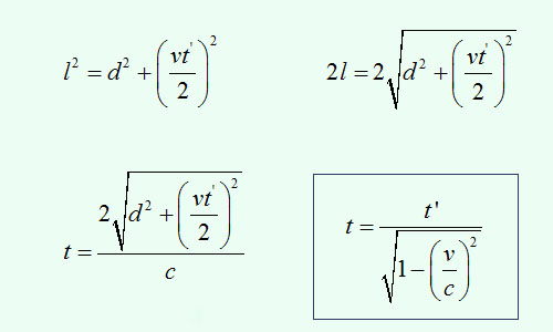
第一步先觀察靜止狀態,時間等於距離除以速率,我們計算的是來回的時間 t',距離 2d ,速率光速 c,帶入式子得:
現在配合相對性原理的概念,當「光」在一等速移動系統行走的時候,仍然會從發射點開始到此空間的底部再反射回發射點,所以我們發現光的路徑會呈斜行(如動畫所示)。 以此為斜邊 l , 兩股分別為 d 和 s ,d 沿用先前的定義,而 s 的部份以時間 t' / 2 帶, 速度即為現在此系統向右行進的速度 v 帶,得 s = v (t' / 2) ,得到 3 股的長度後,運用畢氏定理。經過一番計算,可得到時間膨脹的式子:
現在配合相對性原理的概念,當「光」在一等速移動系統行走的時候,仍然會從發射點開始到此空間的底部再反射回發射點,所以我們發現光的路徑會呈斜行(如動畫所示)。
以此為斜邊 l , 兩股分別為 d 和 s ,d 沿用先前的定義,而 s 的部份以時間 t' / 2 帶, 速度即為現在此系統向右行進的速度 v 帶,得 s = v (t' / 2) ,得到 3 股的長度後,運用畢氏定理。經過一番計算,可得到時間膨脹的式子:
以車廂作例子。我們能看見東西,是因為光線進入我們眼中的關係!如果車廂是靜止的,那麼,我們站月台上離車廂兩頭等距離的位置,車廂兩頭(A點和B點)的光進入我們眼睛的距離是相等的,所以對於站在月台上的我們來說,我們可以「同時」接收到來自A點和B點的光,因此,我們看見的車廂就是原來的長度。(如左圖,車廂長度=原長) 但是,如果車廂往左邊運動,那麼,A點離我們的距離越來越遠,B點離我們的距離越來越近,所以,當我們看見某一時刻來自B點的光時,同一時刻來自A點的光只走到半路;而真正進入我們眼中的光,其實是更早的時候(A' )發出的。也就是說,我們「同時」看見的,是來自A' 和B的光,因此,我們看來,車廂就變短啦!(如右圖,車廂長度<原長)
以車廂作例子。我們能看見東西,是因為光線進入我們眼中的關係!如果車廂是靜止的,那麼,我們站月台上離車廂兩頭等距離的位置,車廂兩頭(A點和B點)的光進入我們眼睛的距離是相等的,所以對於站在月台上的我們來說,我們可以「同時」接收到來自A點和B點的光,因此,我們看見的車廂就是原來的長度。(如左圖,車廂長度=原長)
但是,如果車廂往左邊運動,那麼,A點離我們的距離越來越遠,B點離我們的距離越來越近,所以,當我們看見某一時刻來自B點的光時,同一時刻來自A點的光只走到半路;而真正進入我們眼中的光,其實是更早的時候(A' )發出的。也就是說,我們「同時」看見的,是來自A' 和B的光,因此,我們看來,車廂就變短啦!(如右圖,車廂長度<原長)
質量、時間、長度、能量與古典物理之不同,其原理都與先前「動鐘延緩、動尺縮短」的概念相同。
在這邊主要述說「快子」這個概念,前面洋洋灑灑述說的理論並非表示,不能有物體行走的速度超越光速,而是如果以超過光速行走的物體,本身就無法減速至光速。如果以快子的立場看待周遭一切事物,物理學將重新改寫,在快子的世界中,時光永遠是倒流的,例如:快子外星人登錄地球,將先看到快子外星人與你握手,相談甚歡後,你才看見他下了太空船。例如:快子羅賓漢射箭,你將先看到他的箭正中蘋果中心,而後才看到他發射箭的英姿。 廣義相對論比較複雜,最重要的是導出引力其實是時空的扭曲。為何有地球有地心吸力?牛頓因為在櫻桃樹下的體悟,告訴我們因為地球有一股引力至地球發出,所謂的「地球引力」或稱為「重力」,吸引其他物件。可是愛因斯坦的廣義相對論指出這個宇宙其實是由時空構成,大質量或大能量的物體會把其附近的時空扭曲,這些扭曲的時空會形成引力場,又要具體一點解釋,我們可以設想宇宙是一塊很大很平的橡膠,一些有質量的物體,如一個鉛球放上這塊橡膠會導致橡膠凹下去少許,這個凹下去的部份就是該鉛球的引力場,當然引力場大小(即引力的強弱)取決於該物體的質量。
在這邊主要述說「快子」這個概念,前面洋洋灑灑述說的理論並非表示,不能有物體行走的速度超越光速,而是如果以超過光速行走的物體,本身就無法減速至光速。如果以快子的立場看待周遭一切事物,物理學將重新改寫,在快子的世界中,時光永遠是倒流的,例如:快子外星人登錄地球,將先看到快子外星人與你握手,相談甚歡後,你才看見他下了太空船。例如:快子羅賓漢射箭,你將先看到他的箭正中蘋果中心,而後才看到他發射箭的英姿。
廣義相對論比較複雜,最重要的是導出引力其實是時空的扭曲。為何有地球有地心吸力?牛頓因為在櫻桃樹下的體悟,告訴我們因為地球有一股引力至地球發出,所謂的「地球引力」或稱為「重力」,吸引其他物件。可是愛因斯坦的廣義相對論指出這個宇宙其實是由時空構成,大質量或大能量的物體會把其附近的時空扭曲,這些扭曲的時空會形成引力場,又要具體一點解釋,我們可以設想宇宙是一塊很大很平的橡膠,一些有質量的物體,如一個鉛球放上這塊橡膠會導致橡膠凹下去少許,這個凹下去的部份就是該鉛球的引力場,當然引力場大小(即引力的強弱)取決於該物體的質量。
重力(即萬有引力)是與參考架構的加速是等效的。例如:一個飄浮在太空中(無重力)的太空船,與地球上一個自由下落的電梯廂房(重力與下落的加速度抵消)等效。因為其中不受外力的物体能真正地做到「靜者恆靜,動者恆動」。也只有這樣的參考架構是「慣性」(較優)的。以此而推論,地面上(或平穩之火車中)有重力的效應,無支撐的物体皆會下落,故並非一個「慣性參考架構」(相當於一個無重力但有向上加速度之參考架構)。因此,其中的光線亦不直進。但如果光線不直,「直」與「不直」之意義,須另加考慮。 故愛因斯坦發展出「廣義相對論」:凡有物質,必引起萬有引力,而時間與空間隨之彎曲(萬有引力也使時鐘變慢)。此彎曲即是萬有引力──萬有引力即為時空的幾何構造。對此理論之觀測証實,大多來自天文。愛因斯坦並稱這個想法是他「一生中最開心的想法」。
重力(即萬有引力)是與參考架構的加速是等效的。例如:一個飄浮在太空中(無重力)的太空船,與地球上一個自由下落的電梯廂房(重力與下落的加速度抵消)等效。因為其中不受外力的物体能真正地做到「靜者恆靜,動者恆動」。也只有這樣的參考架構是「慣性」(較優)的。以此而推論,地面上(或平穩之火車中)有重力的效應,無支撐的物体皆會下落,故並非一個「慣性參考架構」(相當於一個無重力但有向上加速度之參考架構)。因此,其中的光線亦不直進。但如果光線不直,「直」與「不直」之意義,須另加考慮。
故愛因斯坦發展出「廣義相對論」:凡有物質,必引起萬有引力,而時間與空間隨之彎曲(萬有引力也使時鐘變慢)。此彎曲即是萬有引力──萬有引力即為時空的幾何構造。對此理論之觀測証實,大多來自天文。愛因斯坦並稱這個想法是他「一生中最開心的想法」。
圖中恆星的光由於經過一引力相當大的太陽,使光的路徑發生偏移,故在地球的觀測者若無經過計算修正,無法判斷出恆星的真實位置。 圖中顯示一具有質量的球體,將造成附近時空扭曲,重力會使時間減慢,同時造成光的路徑發生偏移。如同一鉛球放在一大片橡膠上會造成橡膠凹陷下去,而這個凹陷下去的部份就是鉛球的引力場,當然引力場的大小取決於物體的質量。 為了驗證愛因斯坦廣義相對論中所述「時空是隨著物質的分布而彎曲」的正確性。愛因斯坦想出一個相當聰明的辦法,即在夜晚先拍攝一組恆星群的照片,待日全蝕出現時恆星的光從太陽(質量大)邊緣經過,再拍攝一組恆星群照片,比較兩次照片的結果就可得知恆星的移位。在1916年一次日食的前夕,拍攝了一組夜晚的群星相片,次日在逢日全食的時候,在同一地又拍攝這組群星相片。比較之下正如愛因斯坦廣義相對論的假想實驗之預測,發現第二張照片的星星位置已經移動了。 愛因斯坦曾經在 1915 年做出預測,比較兩照片其恆星的偏移量為 1.74 弧秒,在過去 4 年間他一直忽略重力所造成的空間彎曲效應,而宣稱偏移量是 0.87 弧秒。 (1) 事實上 1912 年時阿根廷的探測隊就曾到巴西觀察日全蝕,不幸的是天候不佳而無功而返,但不幸中的大幸是沒有探測成功使得愛因斯坦的錯誤預測沒有因此遭到世人撻伐。 (2) 年輕的柏林天文學家福洛恩德利 (Erwin Freundlich) 組遠征隊前往西伯利亞觀察 1914 年夏天的日全蝕,然而就在他們設定好裝備,德國向俄國宣戰,他們立刻遭到扣留,人索性安然無恙但又失去一次日全蝕觀測的機會。 (3) 終於到了 1919 年,一位英國劍橋天文臺的臺長愛丁頓透過中立國荷蘭的天文科學家希特 (Willian de Sitter) 得到愛因斯坦的理論並很感興趣,由於正值第一次世界大戰,德國以外的區域鮮少聽聞此一理論,而愛丁頓有幸得到這樣的資訊,也很希望能將之證明。皇家天文學會戴森爵士很快了解到 1919 年 5 月 29 日是驗證最佳時機,愛丁頓便與皇家格林威治天文臺天文學家克魯曼林 (Andrew Crommelin) 個別率兩支遠征隊,分別到幾內亞灣的普琳賽島 (Principe Island) 和巴西索布拉 (Sobral) 進行光察, 當時對愛丁頓而言「英國」的科學家驗證「德國」科學家的理論可以說戰爭已經「結束」了。最後愛丁頓隊得到的結果是偏移量 1.61 弧秒,克魯曼林隊則是 1.98 弧秒,兩者之平均 1.79 弧秒與愛因斯坦所預測的 1.74 弧秒在實驗誤差下順利被證實了。 最終驗證了「時空是隨著物質的分布而彎曲」的論點。換言之,從重力能使光的行進路徑產生偏折的觀測中,知道物質附近的時間─空間結構是彎曲的 兩星系湊巧在地球前排成一線,較近的星系產生的重力成為透鏡,來自遠方星系的光線經過產生偏折,最後聚焦,所形成的就是如圖的「愛因斯坦環」。
圖中恆星的光由於經過一引力相當大的太陽,使光的路徑發生偏移,故在地球的觀測者若無經過計算修正,無法判斷出恆星的真實位置。 圖中顯示一具有質量的球體,將造成附近時空扭曲,重力會使時間減慢,同時造成光的路徑發生偏移。如同一鉛球放在一大片橡膠上會造成橡膠凹陷下去,而這個凹陷下去的部份就是鉛球的引力場,當然引力場的大小取決於物體的質量。
圖中恆星的光由於經過一引力相當大的太陽,使光的路徑發生偏移,故在地球的觀測者若無經過計算修正,無法判斷出恆星的真實位置。
圖中顯示一具有質量的球體,將造成附近時空扭曲,重力會使時間減慢,同時造成光的路徑發生偏移。如同一鉛球放在一大片橡膠上會造成橡膠凹陷下去,而這個凹陷下去的部份就是鉛球的引力場,當然引力場的大小取決於物體的質量。
為了驗證愛因斯坦廣義相對論中所述「時空是隨著物質的分布而彎曲」的正確性。愛因斯坦想出一個相當聰明的辦法,即在夜晚先拍攝一組恆星群的照片,待日全蝕出現時恆星的光從太陽(質量大)邊緣經過,再拍攝一組恆星群照片,比較兩次照片的結果就可得知恆星的移位。在1916年一次日食的前夕,拍攝了一組夜晚的群星相片,次日在逢日全食的時候,在同一地又拍攝這組群星相片。比較之下正如愛因斯坦廣義相對論的假想實驗之預測,發現第二張照片的星星位置已經移動了。
愛因斯坦曾經在 1915 年做出預測,比較兩照片其恆星的偏移量為 1.74 弧秒,在過去 4 年間他一直忽略重力所造成的空間彎曲效應,而宣稱偏移量是 0.87 弧秒。 (1) 事實上 1912 年時阿根廷的探測隊就曾到巴西觀察日全蝕,不幸的是天候不佳而無功而返,但不幸中的大幸是沒有探測成功使得愛因斯坦的錯誤預測沒有因此遭到世人撻伐。 (2) 年輕的柏林天文學家福洛恩德利 (Erwin Freundlich) 組遠征隊前往西伯利亞觀察 1914 年夏天的日全蝕,然而就在他們設定好裝備,德國向俄國宣戰,他們立刻遭到扣留,人索性安然無恙但又失去一次日全蝕觀測的機會。 (3) 終於到了 1919 年,一位英國劍橋天文臺的臺長愛丁頓透過中立國荷蘭的天文科學家希特 (Willian de Sitter) 得到愛因斯坦的理論並很感興趣,由於正值第一次世界大戰,德國以外的區域鮮少聽聞此一理論,而愛丁頓有幸得到這樣的資訊,也很希望能將之證明。皇家天文學會戴森爵士很快了解到 1919 年 5 月 29 日是驗證最佳時機,愛丁頓便與皇家格林威治天文臺天文學家克魯曼林 (Andrew Crommelin) 個別率兩支遠征隊,分別到幾內亞灣的普琳賽島 (Principe Island) 和巴西索布拉 (Sobral) 進行光察, 當時對愛丁頓而言「英國」的科學家驗證「德國」科學家的理論可以說戰爭已經「結束」了。最後愛丁頓隊得到的結果是偏移量 1.61 弧秒,克魯曼林隊則是 1.98 弧秒,兩者之平均 1.79 弧秒與愛因斯坦所預測的 1.74 弧秒在實驗誤差下順利被證實了。
最終驗證了「時空是隨著物質的分布而彎曲」的論點。換言之,從重力能使光的行進路徑產生偏折的觀測中,知道物質附近的時間─空間結構是彎曲的
兩星系湊巧在地球前排成一線,較近的星系產生的重力成為透鏡,來自遠方星系的光線經過產生偏折,最後聚焦,所形成的就是如圖的「愛因斯坦環」。
恆星終就有一天會燃燒殆盡,亦即生命結束,她將在自身的重量作用下崩塌,可變成以下幾種狀態: (1)中子星:超新星爆發後,殘骸質量比太陽質量 1.4 倍高而比太陽質量 3 倍低的恆星核心會演化成中子星。在中子星內,重力令質子和電子融合成中子,所以中子星是由簡拼中子氣體組成,由簡拼中子壓力來維持與重力平衡,密度比白矮星更高。部分中子星旋轉速度相當高,兩極有 X-Ray 放出。如 X-Ray 噴流掃過地球,地球便會接收到有規律的訊號,此星便稱為脈沖星。當第一顆脈沖星被發現時,人類還以為ET向我們發訊號,因而掀起了一陣外星人熱呢。 這是行星狀星雲,中間的白點很有可能就是中子星 (2)白矮星:例如我們太陽系的太陽,就可能是這樣的命運。 當一顆類似太陽的恆星燃燒殆盡後,會拋出外層的氣殼,而核心會成為一顆白矮星 哈伯太空望遠鏡攝得之NGC1850星團。黃色而分佈得很密的是一些與太陽差不多的恆星,紅色的則是一些快要死亡的紅巨星。 (3)直經數公里的黑洞。 變成黑洞的歷程 恆星(正球體或近似)→逐漸縮小向中心崩塌→球面重力越來越大→直到某一點,恆星全面繃壞並發生內爆,終所為一點→奇異點 singularity...以下以動畫模擬之 黑洞的命名 1960年代晚期的物理學家惠勒教授命名,取其兩大特徵:黑暗而空洞。 黑暗:由於重力無限大,時間扭曲效應也是無限大,球面上的時間變得凍結般的完全不動。空洞:先前提到縮小至奇異點,即是空洞的一種象徵,因為縮小至奇異點,幾乎可為空無一物。 人無法承受,但是光可以,光也是一種時鐘,當光進去黑洞,時間扭曲的現象阻礙光線的振盪,光線的頻率將越來越低,直到完全消褪為止,一切化為黑暗。 對於奇異點另一端的猜測 史瓦茲席德所解出的結構 愛因斯坦與羅森所解出的結構,這個形式普遍稱為「蛀孔」 現在我們具備這些背景知識後,離所要探討的另一主題,時光旅行,也就更接近了一步,探討時光旅行,也就是從愛因斯坦相對論與和羅森解出的這個解開始...
恆星終就有一天會燃燒殆盡,亦即生命結束,她將在自身的重量作用下崩塌,可變成以下幾種狀態:
(1)中子星:超新星爆發後,殘骸質量比太陽質量 1.4 倍高而比太陽質量 3 倍低的恆星核心會演化成中子星。在中子星內,重力令質子和電子融合成中子,所以中子星是由簡拼中子氣體組成,由簡拼中子壓力來維持與重力平衡,密度比白矮星更高。部分中子星旋轉速度相當高,兩極有 X-Ray 放出。如 X-Ray 噴流掃過地球,地球便會接收到有規律的訊號,此星便稱為脈沖星。當第一顆脈沖星被發現時,人類還以為ET向我們發訊號,因而掀起了一陣外星人熱呢。
這是行星狀星雲,中間的白點很有可能就是中子星
(2)白矮星:例如我們太陽系的太陽,就可能是這樣的命運。
哈伯太空望遠鏡攝得之NGC1850星團。黃色而分佈得很密的是一些與太陽差不多的恆星,紅色的則是一些快要死亡的紅巨星。
(3)直經數公里的黑洞。
恆星(正球體或近似)→逐漸縮小向中心崩塌→球面重力越來越大→直到某一點,恆星全面繃壞並發生內爆,終所為一點→奇異點 singularity...以下以動畫模擬之
1960年代晚期的物理學家惠勒教授命名,取其兩大特徵:黑暗而空洞。 黑暗:由於重力無限大,時間扭曲效應也是無限大,球面上的時間變得凍結般的完全不動。空洞:先前提到縮小至奇異點,即是空洞的一種象徵,因為縮小至奇異點,幾乎可為空無一物。 人無法承受,但是光可以,光也是一種時鐘,當光進去黑洞,時間扭曲的現象阻礙光線的振盪,光線的頻率將越來越低,直到完全消褪為止,一切化為黑暗。
1960年代晚期的物理學家惠勒教授命名,取其兩大特徵:黑暗而空洞。
黑暗:由於重力無限大,時間扭曲效應也是無限大,球面上的時間變得凍結般的完全不動。空洞:先前提到縮小至奇異點,即是空洞的一種象徵,因為縮小至奇異點,幾乎可為空無一物。
人無法承受,但是光可以,光也是一種時鐘,當光進去黑洞,時間扭曲的現象阻礙光線的振盪,光線的頻率將越來越低,直到完全消褪為止,一切化為黑暗。
現在我們具備這些背景知識後,離所要探討的另一主題,時光旅行,也就更接近了一步,探討時光旅行,也就是從愛因斯坦相對論與和羅森解出的這個解開始...
哲學家奧古斯丁曾說過:如果沒有人問我,時間是什麼?這時我知道時間是什麼;如果有人問我這個問題,我試圖去解釋,這時我又不知道時間是什麼了。時間似乎如同箭一般往前直進,但是時間到底是不是一直不停的往前流動呢?
物理學家們傾向於把過去與未來的事件都放在一幅時間圖的塊裡稱為「時間塊」。物理學家們的時間觀,是「不會流動的」。愛因斯坦甚至說過,過去、現在、未來事實上是偏執的錯。 熵
物理學家們傾向於把過去與未來的事件都放在一幅時間圖的塊裡稱為「時間塊」。物理學家們的時間觀,是「不會流動的」。愛因斯坦甚至說過,過去、現在、未來事實上是偏執的錯。
熵
(1) 根據狹義相對論所說的,動鐘延緩效應: 既然以接近光的速度進行旅行,在太空船中會出現時間延緩的效果。那麼以這樣的模式到外太空旅行,再折返回地球,地球實際經過的時間遠大於光速太空船的旅行者經過的時間,當旅行者再度踏上地球這片土地,不就到了未來了嗎?這便是到達未來最「簡單」的方式。我們最常談到或聽到的「孿生子佯謬」(twin paradox) 就是在敘述這種類型的時光旅行。假設莎莉和山姆是孿生子,莎莉登上一艘以接近光速運行的太空船駛向宇宙另外一個星球,調個頭又再度飛回地球,而山姆則始終留守家園。就莎莉而言,這趟旅程也許耗時 1 年,可是當她回來踏出太空船時,會發現地球上已歷經 10 年了,即我們先前提到的動鐘延緩效應,也稱為「時間膨脹」(time dilation)。而莎莉和山姆雖原本是同日生的雙生子,但從此以後也就相差了 9 歲。實際上,莎莉已躍入 9 年後地球的未來,意旨她成功走入未來。 picture from School of Physics, University of New South Wales http://www.phys.unsw.edu.au/einsteinlight/jw/module4_twin_paradox.htm 其實這類時間膨脹的現象在我們日常生活周遭隨時都會發生,只要你乘坐移動的物體無論捷運或你自己開車都一樣,只不過這類現象必須當速度加到接近光速才會出現明顯的效果,就以飛機的速度來舉例子,以精密的銫原子鐘作量測會發現一趟飛航旅程中有數奈秒的時間膨脹,意思就是你搭了一般民航機下來,走入了數奈秒後的未來,只不過這不會讓人感覺特別興奮。 (2) 空間經由重力所造成的彎曲其附近時間會變慢: (3)索恩提出:製造或從已知的黑洞製造蛀孔時光機: 提出者:加州理工學院的理論物理學家基普.索恩 (Kip Thorne)。著有「黑洞與時間彎曲」(Black Holes & Time Wraps),本書講的是我們在空間和時間上的革命及其重要結果。作者曾親歷過為認識黑洞這一也許是宇宙間最神秘事物的奮鬥和成功。 Kip Thorne's picture from http://content.answers.com/main/content/wp/en/thumb/5/5e/176px-Kip_Thorne.jpg Step 1: 尋找或製造一個蠹孔︰這是連接空間中兩地點的一種隧道。大的蠹孔也許自然存在於太空深處,是大霹靂的遺跡。要不然我們就只好拿次原子蠹孔來充數。它們可能自然存在(有人說它們就在你我周遭不斷冒出又消失),或是人造的(譬如此處所想像,由粒子加速器製造)。這些小蠹孔必須放大到有用的大小,譬如用上類似大霹靂後讓空間膨脹的能量場。 Step 2: 使蠹孔穩定︰注入負能量,譬如利用開斯米效應(Casimir effect)等量子方式,使訊號或物體得以安全穿越蠹孔。蠹孔傾向於擠壓成一個密度無窮大或近乎無窮大的點,而負能量可對抗這個趨勢;換言之,它會避免蠹孔變成黑洞。 Step 3: 拖曳蠹孔︰假設有一艘具有高度先進科技的太空船,會將蠹孔的兩個口分開。其中一個開口或許可置放於中子星表面附近。中子星是極度緻密、有強大重力場的星球,此強重力場會使時間過得慢多了。由於時間在蠹孔的另一開口處過得較快,此兩開口便在空間及時間上都被分開來了。 科學家預測在蛀孔時光機運行可看到的場景 蛀孔形式一:自己連到自己 蛀孔形式二:通往另一宇宙或另一空間? 蛀孔旅行的構想來自科幻小說,當時索恩博士的朋友莎岡 (Carl Sagan),莎岡本身也是天文學家,業於從事科幻寫作,1980 年代他正在創作一部小說「接觸未來」(Contact) 而請教索恩如何在 1 個小時內到達 26 光年遠的地方,索恩給予的答覆正是使用「蛀孔時光機」,後來拍成電影。這部故事原先並非談論時光旅行,而是關於一位女科學家致力於接收外太空中先進文明發射出來的無線訊息,雖不受其他同行科學家看好,但因為她的努力最後接收到遠在 26 光年外的織女星發射出來的訊息,而外星文明傳來的正是蛀孔時光機的設計圖,女科學家實作後乘坐並以相當短的時間內(電影內約略數分鐘)即到了 26 光年外的織女星。這位女科學家正是進入蛀孔,旅行於宇宙中蛀孔與蛀孔間連結的通道,從另一端的蛀孔再度出現時即到了織女星。 運用此一想法的電影還有 2006 年的「時空線索」(Deja Vu),片中刑警道格卡林即是經由蛀孔時光機器的概念探看 4 天前的情況,最後更是親身登上蛀孔時光機回到過去,阻止了這場悲劇。其他像是小叮噹的「任意門」也是類似的做法,類似的電影手法不勝枚舉,我們只是舉出具代表性的案例... (4)戈特提出:以具有強大重力的宇宙弦打開飛向未來的旅行之窗: 提出者:加州理工學院的理論物理學家基普.索恩 (Kip Thorne)。著有「黑洞與時間彎曲」(Black Holes & Time Wraps),本書講的是我們在空間和時間上的革命及其重要結果。作者曾親歷過為認識黑洞這一也許是宇宙間最神秘事物的奮鬥和成功。 哲學家奧古斯丁曾說過:如果沒有人問我,時間是什麼?這時我知道時間是什麼;如果有人問我這個問題,我試圖去解釋,這時我又不知道時間是什麼了。時間似乎如同箭一般往前直進,但是時間到底是不是一直不停的往前流動呢?
(1) 根據狹義相對論所說的,動鐘延緩效應:
既然以接近光的速度進行旅行,在太空船中會出現時間延緩的效果。那麼以這樣的模式到外太空旅行,再折返回地球,地球實際經過的時間遠大於光速太空船的旅行者經過的時間,當旅行者再度踏上地球這片土地,不就到了未來了嗎?這便是到達未來最「簡單」的方式。我們最常談到或聽到的「孿生子佯謬」(twin paradox) 就是在敘述這種類型的時光旅行。假設莎莉和山姆是孿生子,莎莉登上一艘以接近光速運行的太空船駛向宇宙另外一個星球,調個頭又再度飛回地球,而山姆則始終留守家園。就莎莉而言,這趟旅程也許耗時 1 年,可是當她回來踏出太空船時,會發現地球上已歷經 10 年了,即我們先前提到的動鐘延緩效應,也稱為「時間膨脹」(time dilation)。而莎莉和山姆雖原本是同日生的雙生子,但從此以後也就相差了 9 歲。實際上,莎莉已躍入 9 年後地球的未來,意旨她成功走入未來。 picture from School of Physics, University of New South Wales http://www.phys.unsw.edu.au/einsteinlight/jw/module4_twin_paradox.htm 其實這類時間膨脹的現象在我們日常生活周遭隨時都會發生,只要你乘坐移動的物體無論捷運或你自己開車都一樣,只不過這類現象必須當速度加到接近光速才會出現明顯的效果,就以飛機的速度來舉例子,以精密的銫原子鐘作量測會發現一趟飛航旅程中有數奈秒的時間膨脹,意思就是你搭了一般民航機下來,走入了數奈秒後的未來,只不過這不會讓人感覺特別興奮。
既然以接近光的速度進行旅行,在太空船中會出現時間延緩的效果。那麼以這樣的模式到外太空旅行,再折返回地球,地球實際經過的時間遠大於光速太空船的旅行者經過的時間,當旅行者再度踏上地球這片土地,不就到了未來了嗎?這便是到達未來最「簡單」的方式。我們最常談到或聽到的「孿生子佯謬」(twin paradox) 就是在敘述這種類型的時光旅行。假設莎莉和山姆是孿生子,莎莉登上一艘以接近光速運行的太空船駛向宇宙另外一個星球,調個頭又再度飛回地球,而山姆則始終留守家園。就莎莉而言,這趟旅程也許耗時 1 年,可是當她回來踏出太空船時,會發現地球上已歷經 10 年了,即我們先前提到的動鐘延緩效應,也稱為「時間膨脹」(time dilation)。而莎莉和山姆雖原本是同日生的雙生子,但從此以後也就相差了 9 歲。實際上,莎莉已躍入 9 年後地球的未來,意旨她成功走入未來。
picture from School of Physics, University of New South Wales http://www.phys.unsw.edu.au/einsteinlight/jw/module4_twin_paradox.htm
其實這類時間膨脹的現象在我們日常生活周遭隨時都會發生,只要你乘坐移動的物體無論捷運或你自己開車都一樣,只不過這類現象必須當速度加到接近光速才會出現明顯的效果,就以飛機的速度來舉例子,以精密的銫原子鐘作量測會發現一趟飛航旅程中有數奈秒的時間膨脹,意思就是你搭了一般民航機下來,走入了數奈秒後的未來,只不過這不會讓人感覺特別興奮。
(2) 空間經由重力所造成的彎曲其附近時間會變慢:
(3)索恩提出:製造或從已知的黑洞製造蛀孔時光機:
提出者:加州理工學院的理論物理學家基普.索恩 (Kip Thorne)。著有「黑洞與時間彎曲」(Black Holes & Time Wraps),本書講的是我們在空間和時間上的革命及其重要結果。作者曾親歷過為認識黑洞這一也許是宇宙間最神秘事物的奮鬥和成功。 Kip Thorne's picture from http://content.answers.com/main/content/wp/en/thumb/5/5e/176px-Kip_Thorne.jpg Step 1: 尋找或製造一個蠹孔︰這是連接空間中兩地點的一種隧道。大的蠹孔也許自然存在於太空深處,是大霹靂的遺跡。要不然我們就只好拿次原子蠹孔來充數。它們可能自然存在(有人說它們就在你我周遭不斷冒出又消失),或是人造的(譬如此處所想像,由粒子加速器製造)。這些小蠹孔必須放大到有用的大小,譬如用上類似大霹靂後讓空間膨脹的能量場。 Step 2: 使蠹孔穩定︰注入負能量,譬如利用開斯米效應(Casimir effect)等量子方式,使訊號或物體得以安全穿越蠹孔。蠹孔傾向於擠壓成一個密度無窮大或近乎無窮大的點,而負能量可對抗這個趨勢;換言之,它會避免蠹孔變成黑洞。 Step 3: 拖曳蠹孔︰假設有一艘具有高度先進科技的太空船,會將蠹孔的兩個口分開。其中一個開口或許可置放於中子星表面附近。中子星是極度緻密、有強大重力場的星球,此強重力場會使時間過得慢多了。由於時間在蠹孔的另一開口處過得較快,此兩開口便在空間及時間上都被分開來了。 科學家預測在蛀孔時光機運行可看到的場景 蛀孔形式一:自己連到自己 蛀孔形式二:通往另一宇宙或另一空間? 蛀孔旅行的構想來自科幻小說,當時索恩博士的朋友莎岡 (Carl Sagan),莎岡本身也是天文學家,業於從事科幻寫作,1980 年代他正在創作一部小說「接觸未來」(Contact) 而請教索恩如何在 1 個小時內到達 26 光年遠的地方,索恩給予的答覆正是使用「蛀孔時光機」,後來拍成電影。這部故事原先並非談論時光旅行,而是關於一位女科學家致力於接收外太空中先進文明發射出來的無線訊息,雖不受其他同行科學家看好,但因為她的努力最後接收到遠在 26 光年外的織女星發射出來的訊息,而外星文明傳來的正是蛀孔時光機的設計圖,女科學家實作後乘坐並以相當短的時間內(電影內約略數分鐘)即到了 26 光年外的織女星。這位女科學家正是進入蛀孔,旅行於宇宙中蛀孔與蛀孔間連結的通道,從另一端的蛀孔再度出現時即到了織女星。 運用此一想法的電影還有 2006 年的「時空線索」(Deja Vu),片中刑警道格卡林即是經由蛀孔時光機器的概念探看 4 天前的情況,最後更是親身登上蛀孔時光機回到過去,阻止了這場悲劇。其他像是小叮噹的「任意門」也是類似的做法,類似的電影手法不勝枚舉,我們只是舉出具代表性的案例...
提出者:加州理工學院的理論物理學家基普.索恩 (Kip Thorne)。著有「黑洞與時間彎曲」(Black Holes & Time Wraps),本書講的是我們在空間和時間上的革命及其重要結果。作者曾親歷過為認識黑洞這一也許是宇宙間最神秘事物的奮鬥和成功。
Kip Thorne's picture from http://content.answers.com/main/content/wp/en/thumb/5/5e/176px-Kip_Thorne.jpg
科學家預測在蛀孔時光機運行可看到的場景
蛀孔形式一:自己連到自己
蛀孔形式二:通往另一宇宙或另一空間?
蛀孔旅行的構想來自科幻小說,當時索恩博士的朋友莎岡 (Carl Sagan),莎岡本身也是天文學家,業於從事科幻寫作,1980 年代他正在創作一部小說「接觸未來」(Contact) 而請教索恩如何在 1 個小時內到達 26 光年遠的地方,索恩給予的答覆正是使用「蛀孔時光機」,後來拍成電影。這部故事原先並非談論時光旅行,而是關於一位女科學家致力於接收外太空中先進文明發射出來的無線訊息,雖不受其他同行科學家看好,但因為她的努力最後接收到遠在 26 光年外的織女星發射出來的訊息,而外星文明傳來的正是蛀孔時光機的設計圖,女科學家實作後乘坐並以相當短的時間內(電影內約略數分鐘)即到了 26 光年外的織女星。這位女科學家正是進入蛀孔,旅行於宇宙中蛀孔與蛀孔間連結的通道,從另一端的蛀孔再度出現時即到了織女星。
運用此一想法的電影還有 2006 年的「時空線索」(Deja Vu),片中刑警道格卡林即是經由蛀孔時光機器的概念探看 4 天前的情況,最後更是親身登上蛀孔時光機回到過去,阻止了這場悲劇。其他像是小叮噹的「任意門」也是類似的做法,類似的電影手法不勝枚舉,我們只是舉出具代表性的案例...
(4)戈特提出:以具有強大重力的宇宙弦打開飛向未來的旅行之窗: